目次へ

公開: 2012年1月15日 / 最終更新日: 2012年5月6日
Follow HalTasaki_Sdot on Twitter 更新情報を Twitter で伝えますFollow HalTasaki_Sdot on Twitter

放射線と原子力発電所事故についてのできるだけ短くてわかりやすくて正確な解説

地表のセシウムによるガンマ線の空間線量率

地表が放射性セシウムに一様に汚染されているとき、その場所でのガンマ線の線量率がどれだけ上乗せされるかの計算方法をまとめておく。 このテーマについては、ずっと前に本格的な解説「ベクレルからシーベルトへ(pdf ファイル)」を書いたので、ここでは結果と例題についてごく簡単に述べる。

このページの目次

設定と公式

例題

付録:導出についてのメモ

付録:役に立つ(かもしれない)近似式

付録:どれくらい遠くからの放射線をカウントするのか?

設定と公式

[gamma from Ground] 本文の「放射線とか放射能ってなに?」の「今、話題になっている「高い放射線量」って?」で説明したように、福島第一原子力発電所の事故によって放出された放射性のセシウム 134 とセシウム 137 が広い範囲の地面を汚染してしまった。 そのため、各地で、平常よりも強いガンマ線が観測されている。

ガンマ線の空間線量率は、通常、地面から 1 メートルの高さに線量計を置き、その場所で測った吸収線量率をもとに決める(吸収線量率については、解説「ベクレル・グレイ・シーベルト」を参照)。 解説「原子・原子核・放射線 」の「放射線」にも書いたように、ガンマ線は、空気によって減衰するが、数十メートル(百メートル近くと言ってもいい)の距離を飛ぶ。

よって、右の(いい加減な)図に示したように、線量計には、真下の地面だけからではなく、四方八方の地面に付着した放射性セシウムからのガンマ線がやってくることになる。 まわりに建物などガンマ線をさえぎるものがなければ、ある場所で測定するガンマ線の空間線量率は、周囲数十メートルの地面のセシウムからのガンマ線を(重みをつけて)合計したものになる。 どれくらい遠くからの放射線を数えているかに興味のある人は、「付録:どれくらい遠くからの放射線をカウントするのか?」をどうぞ。

もちろん、線量計だけでなく、人間も数十メートル四方のセシウムからのガンマ線を被ばくする。


仮に地面が平らで、建物などの遮蔽物がなく、また、観測点のまわりの広い範囲の地面(たとえば、100 メートル四方以上ならば十分)が放射性セシウムに一様に汚染されているとしよう。 もし、セシウム 134 とセシウム 137 の量があわせて、1 m2 あたり 1 Bq だったとすると(つまり、汚染の密度が 1 Bq/m2 ということ)、地面からの高さ 1 m の地点で、セシウムが作るガンマ線の吸収線量率は \(\rm 3.4\times10^{-6}\ \mu Sv/h\) になると見積もられる(吸収線量率の単位は Gy/h だが、ガンマ線なので Sv/h と同じ)。 また、汚染密度とセシウムによる線量率は比例する。

参照しやすいようにまとめて書いておこう。 \[\rm \text{${}^{134}$Cs and ${}^{137}$Cs:}\qquad 1\ Bq/m^2\quad\longleftrightarrow\quad 3.4\times10^{-6}\ \mu Sv/h\] なお、この換算の係数を導くのに、2012 年の前半を想定し、セシウム 134 とセシウム 137 の(ベクレルで測った)比を 4 対 6 と仮定した(下の「付録:導出についてのメモ」を見よ)


上の結果は測定点を地面から 1 m の高さとして導いたものだが、地面が平らで遮蔽物がない場合、線量率の計算結果はさほど測定点の高さには依存しない。 測定点が 10 m なら 1 m のときの約半分、18 m なら約 3 分の 1 という結果になる。 一方、測定点を 50 cm の高さにとっても 1 m の場合の 1.2 倍にしかならず、実質的には変わらない。 (以上の結果については、解説「ベクレルからシーベルトへ(pdf ファイル)」の 16 ページを参照。また、下の「付録:役に立つ(かもしれない)近似式」を見よ。)

地面がずっと平らではなく建物などにガンマ線がさえぎられている状況のあつかいはいささかややこしい。 「見える範囲」だけからのガンマ線を合計するというのが一つの考えだが、建物の近くなどにセシウムがかたまっている可能性もあるし何が適切かはよくわからない。 また、ホットスポットで汚染が一部の地面に限られている場合は、汚染された範囲からの寄与を考えなくてはいけない。

ただし、たとえば 10 メートル四方からだけのガンマ線を考えた場合でも、高さ 1 メートルでの線量率は、無限に広い地面からの汚染を考えた場合の、約 2 分の 1 になるだけである。

大ざっぱな評価をするだけなら、高度や地面の範囲のことはそれほど気にせず、上の換算係数を用いてよさそうだ。 なお、線量率が測定点の高度や汚染の範囲にどのように影響するかを調べるための(わりと)簡単な近似式を下の「付録:役に立つ(かもしれない)近似式」で紹介する。

例題

二つの応用例をみておこう。

まず、平らな地面が一様に 40,000 Bq/m2 の密度で放射性セシウムに汚染されているとする。 これは放射線管理区域設定の基準となる汚染密度だ。

上の 1 Bq/m2 の汚染のときの線量率を 40,000 倍して、 \[\rm 3.4\times10^{-6}\ \mu Sv/h\times 40000=(3.4\times4)\times10^{-6+4}\ \mu Sv/h \simeq 0.14\ \mu Sv/h \] となる。 \(\rm 0.14\ \mu Sv/h\) は線量率の高い地域では決して珍しくない値だが、それが放射線管理区域の汚染密度に対応していることは記憶にとどめるべきだと思う。 ただし、(話がややこしいのだが)放射線管理区域設定の基準となる空間線量率は \(\rm 2.5\ \mu Sv/h\) で、上の値の 20 倍程度である(注:放射線管理区域設定の基準として、空間線量率、空気中の放射性物質の濃度、地表の放射性物質の密度の三つが定められている。上の計算は、この三つ目を出発点にしている。一方、一つ目の空間線量率の基準は 3 ヶ月に 1.3 mSv とされている。労働者についての基準なので一ヶ月を 500 時間として換算すると \(\rm 2.5\ \mu Sv/h\) となる(この換算については、たとえば、厚労省の「東日本大震災により生じた放射性物質により汚染された土壌等を除染するための業務等に係る電離放射線障害防止規則等の施行について(web ページ)」の第2 細部事項、3 線量の限度及び測定(第2章関係)、(4) 線量の測定(第5条関係) の項目イを見よ)。 一つ目の基準と三つ目の基準が 20 倍も異なる理由はよくわからないが、地面の汚染からの被ばくの危険性を重視したということだろうか?)

(なお、ここでやったような「10 のべき乗」を含む数の計算についてもっと知りたい方は、解説「10 のべき乗 --- 大きい数と小さい数の表わし方 」をどうぞ。)


もうひとつ、逆の方向の計算をしておこう。

東京都新宿での空間線量率は、平常値が \(0.03\rm\ \mu Sv/h\) 程度だったものが、現在は \(0.06\rm\ \mu Sv/h\) 程度になっているとされる(測定点の高さや環境など、いくつかの問題があるので、大ざっぱな数値である)。 両者の差の \(0.03\rm\ \mu Sv/h\) 程度が地面(あるいは、モニタリングポストのあるビルの屋上)に付着した放射性セシウムからのガンマ線に相当すると考えられる。

この線量率と、上の 1 Bq/m2 の汚染のときの線量率の比を取れば、 \[ \frac{0.03}{3.4\times10^{-6}}=\frac{3\times10^{-2}}{3.4\times10^{-6}}\simeq1\times10^4 \] である。 つまり、新宿の地面の汚染密度は 1 平方メートルあたりおおよそ 1 万ベクレルと推測される。 この結果は、実測した放射性セシウムの降下量の総量(1 平方メートルあたり、おおよそ 1 万 7 千ベクレルとされる)とも大ざっぱには一致する。

付録:導出についてのメモ

ここでの換算の係数を求めるため、
IAEA-TECDOC-1162, Generic procedures for assessment and response during a radiological emergency (pdf file)
の 99 ページにある係数を利用した(このような係数がどうやって計算されるかを解説したのが(ごく一部で好評の)「ベクレルからシーベルトへ(pdf ファイル)」)

これによると、セシウム 134 またはセシウム 137 のみが 1 Bq/m2 の密度で付着しているときの地表から 1 m の高さでの(余分な)吸収線量率は、それぞれ、 \[\rm \text{${}^{134}$Cs:}\qquad 1\ Bq/m^2\quad\longleftrightarrow\quad 5.4\times10^{-6}\ \mu Sv/h\] \[\rm \text{${}^{137}$Cs:}\qquad 1\ Bq/m^2\quad\longleftrightarrow\quad 2.1\times10^{-6}\ \mu Sv/h\] である。

この二つを適切に平均すればいい。

今回の事故で放出されたセシウム 134 とセシウム 137 の量は事故当初は(ベクレルで測って)ほぼ等しかった(「セシウム 137 とセシウム 134」を見よ)。 それから、ほぼ 1 年が経ち、半減期が 2 年のセシウム 134 は当初の \( 2^{-1/2}\simeq 0.7\) 倍に減衰したはずである(解説「半減期の数学・ベクレルとモル数 」を参照)。 一方、半減期が 30 年のセシウム 137 は実質的に減衰していない。 セシウムが複雑に移動しても、セシウム 134 と 137 の量の(ベクレルで測った)比は崩壊の法則で決まると考えられるので、2012 年前半での両者の比は \(0.7:1\simeq 4:6\) と見積もられる。

よって上の IAEA の係数を加重平均して、 \[\rm (0.4\times 5.4+0.6\times 2.1)\times10^{-6}\ \mu Sv/h\simeq3.4\times10^{-6}\ \mu Sv/h\] という換算係数が得られる。

付録:役に立つ(かもしれない)近似式

解説「ベクレルからシーベルトへ(pdf ファイル)」では、無限に広い平面の表面だけが放射性セシウムに一様に汚染されたと仮定し、ある高さでのガンマ線の線量率を積分を使って評価する方法を詳しく説明している(実際には、ある程度の深さまでセシウムが染みこむので、この評価が正確にあてはまるわけではない。次の付録の参考文献を見よ)。 最終的に出てくる積分は簡単ではないのだが、ほとんどの場合に信頼できる簡単な近似式も導いてある((4.10) から (4.12) の表式)ので、その結果だけを紹介しておこう。

これらの近似式は、線量が観測点の高さや汚染の範囲にどのように依存するかを考えるためには、それなりに役に立つのではないかと思う。


まず、無限に広い(といっても、100 メートル四方程度より大きければ十分)地面が一様にセシウム 134 と 137 に汚染されているとする。

ここでも汚染密度が 1 Bq/m2 だとすると、高さ \(h\)(単位はメートル)でのガンマ線の線量率は、 \[ \text{${}^{134}$Cs and ${}^{137}$Cs:}\qquad 1\ {\rm Bq/m^2}\quad\longleftrightarrow\quad 4.0\times10^{-7}\,\log\biggl[\biggl(\frac{69}{h}\biggr)^2+1\biggr]\rm\ \mu Sv/h\] と見積もられる。 ここでの log は自然対数なので、電卓などでは LN というキーを使う必要があるので注意。 この近似式は、高さ \(h\) が 50 メートル程度までなら正確なので、実際問題としてはいつでも使えると思っていい。

上の「設定と公式」の最後で、高さ 1 m での線量率を高さ 10 m、18 m、50 cm での線量率と比較したが、その結果はこの近似式からも導くことができる。 興味をもった方は電卓を使ってやってみてください。


今度は平らな地面のうち、半径 \(R\) の円の内側だけが一様にセシウム 134 と 137 に汚染されているとする。 ビルに囲まれた広場、あるいは、ホットスポットの理想化したモデルと思えるだろう。 \(R\) はあまり大きくない(たとえば、50 メートル以下)とする(\(R\) が大きいときは、すぐ上の式を使えば十分)。

ここでも汚染密度が 1 Bq/m2 だとすると、円の中心の位置での、高さ \(h\) でのガンマ線の線量率は、 \[ \text{${}^{134}$Cs and ${}^{137}$Cs:}\qquad 1\ {\rm Bq/m^2}\quad\longleftrightarrow\quad 4.0\times10^{-7}\,\log\biggl[\biggl(\frac{R}{h}\biggr)^2+1\biggr]\rm\ \mu Sv/h\] と見積もられる。 半径 \(R\) と高さ \(h\) は同じ単位(たとえばメートル)で測る。 ここでも log は自然対数なので注意。

現実のホットスポットでは、汚染濃度と汚染範囲がどちらもわからないので、この式を使ってすぐに汚染状況の解析ができるわけではない。 ただ、この式に色々な数値を代入して汚染範囲と線量率の関わりを知っておけば、現場でも役立つ「感覚」が養われることを期待したい。

付録:どれくらい遠くからの放射線をカウントするのか?

線量計を用いて空間線量率を測ったとき、いったい、どれくらい遠い地面からの放射線をカウントしているかということを考えておこう。 ここでも話を理想化して、表面だけが一様にセシウムに汚染された平面から高さ 1 m の地点に線量計を固定して空間線量率をはかることを考える。

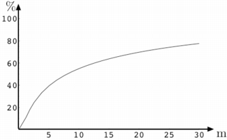
[gamma from Ground] 線量計の真下の地面を中心にした半径 2 m の円を考える。 解説「ベクレルからシーベルトへ(pdf ファイル)」の (4.4), (4.5) 式をもとに計算してみると、線量計がカウントしている放射線のうち、この半径 2 m の円の内側の地面から届いているのはたった 20 パーセントに過ぎないことがわかる。残りの 80 パーセントは半径 2 m よりも外側の地面から届いているのだ。

様々な半径の円について、同じように「カウントした放射線の何パーセントが円の内側から来ているか」をプロットしたのが右のグラフだ。 半径をかなり大きくしても、なかなか割合が 100 パーセントに近づかないことがわかる。 半径 1 m ならわずか 8 パーセント、 半径 5 m で 40 パーセント、半径 8 m までとってようやく 50 パーセントである。 カウントした放射線の 90 パーセントを拾うためには、なんと半径 70 m の円を考える必要がある。

ほとんどの場合、放射線を計測している場所の周囲は、見晴らしのよい平原などではなく、周囲を森や建物で区切られたところだろう。 その場合には、ここでいう円の内側からだけの放射線をカウントしているのに近い状況になる。 地面の汚染密度に比べて、線量は少なめになるということだ。


なお、ここでは放射性セシウムが地面の表面だけに付着している状況を想定して計算したが、実際には、セシウムが土壌の中に染みこんでいることも多いはずだ。 そういう際には、遠方から来る放射線が弱くなり、相対的に近くからの寄与の割合が大きくなることが知られている。

たとえば、半径 5 m の円の内側からの寄与は、上の理想化した計算では約 40 パーセントだが、土壌に深く染みこんでいる状況では 70 パーセント程度にまで上がる。 詳しくは、「ゲルマニウム半導体検出器を用いた in-situ 測定法(pdf ファイル)」の p29 の 5-1、また、p43 からの解説 D-1(特に p48 のグラフ)を参照。


目次へ


このページを書いて管理しているのは田崎晴明(学習院大学理学部)です。 申し訳ありませんが、ご質問やご意見は(Twitter ではなく) hal.tasaki.h@gmail.com 宛てのメールでお願いします。
リンクはご自由にどうぞ。いろいろな人に紹介していただければ幸いです。 目次の URL は、http://www.gakushuin.ac.jp/~881791/housha/です(URL をマウスでおさえて「リンクをコピー」してください)。
このページの各項目に直接リンクするときには、上の目次の項目をマウスでおさえて「リンクをコピー」してください。